DC-DC 转换器的系统设计
蓝粤网旗下网站
service@yuetol.com
在这些理论的基础上,根据系统设计指标选择了较为适合的系统架构,并仔细的选取了一些所提出的系统架构的关键参数,根据具体的控制模式以及关键参数,采用新的建模方法完成了系统行为级的建模。
PWM/PFM 混合模式降压型 DC-DC 转换器的系统架构
本文设计重点,是实现降压型DC-DC变换器在全负载范围内都保持很高的转换效率,本文在调制模式上结合PWM在重负载时的高转换效率特点和PFM在轻负载时的高转换效率特点,采用PWM/PFM混合调制模式;在拓扑结构上,本文采用同步降压型。
1.系统设计指标
为便携式电子产品供电的电池中用的是锂电池,而这种电池的有效能量都分布在2.7~4.2v区间之内,而以智能手机、PAD等为代表的便携式电子产品对续航能力、功率密度、响应速度和小型化的要求,提出了本文的设计指标,如下图3-1。
2.双模式控制的意义
降压型开关变换器中的功率损耗主要是由功率级产生的,可得功率损耗除了正常的负载输出功耗以外,主要是由功率管的导通损耗Pcon和开关损耗Psw产生的,其中导通损耗表示为
式中Io为负载电流,Rop和Ron分别是上端开关管PMOS导通电阻和同步开关管NMOS导通电阻, D为占空比,并且有
开关损耗为
其中Ctot为包含功率管PMOS和NMOS的总的寄生电容,fsw为开关管的开关频率。
负载的输出功耗为
则功率级的总功耗可以表示为
在全负载范围内MOS管的各种损耗相对所占的比例是不一样的,图3-2表明在重负载范围内导通损耗所占的比重要大,而在轻负载范围内开关损耗所占的比重要大,因而要满足在全负载范围内都有较高的转换效率,则既应减小重负载时的导通损耗Pcon又应减小轻负载时的开关损耗Psw。图3-3表明PWM调制模式可以有效的减小重负载时的导通损耗,而PFM调至模式可以有效减小开关损耗,因而PWM在较大的负载电流时、PFM在较小的负载电流时都具有较小的功率级损耗,从而可以得到较高的转换效率。
3.系统架构和控制模式
结合PWM在重负载范围内、PFM在轻负载范围内都具有较高的转换效率的特点,本文采用图3-4的PWM/PFM混合模式降压型开关变换器系统架构。
上图3-5详细介绍了PWM/PFM自动切换原理,在转换器上电启动阶段,为了提高上电速度先让转换器控制在PWM模式下,当正常启动后,电流检测模块实时监测电感电流的变化,并根据电流的大小判断是否进入 PFM模式。有两种情况可以实现从PWM 模式切换到PFM模式:一种是电流检测模块检测到电感电流处于断续模式(DCM),表明此时的平均电感电流已经小于设定的阈值电流了,电路处于轻负载了,电路可以从PWM向PFM转换;另一种情况是电流检测模块检测到电感的峰值电流小于设定的阈值,此时也可以实现从PWM向PFM转换。当处于PFM模式中可以通过反馈的输出电压的大小来判断是否向PWM切换。在满足高转换效率的前提下,为了提高转换器对输入输出扰动的响应速度,本文选择在PWM调制模式下使用峰值电流型控制,在PFM模式下使用具有峰值电流检测的迟滞电压型控制,选择电流型的原因前几章已详细介绍过,这里不再赘叙。
DC-DC 转换器相关参数的选取
由于在全负载范围内开关管存在导通损耗和开关损耗,功率管的选择直接关系到了转换器的效率问题。减小开关管的导通电阻直接可以减小导通损耗,但是电阻减小必然会导致开关管尺寸的增加,这样又会增加开关损耗。为了提高转换效率,必须要减小开关管在全负载范围内的损耗,因而优化选择开关管尺寸是开关电源芯片设计的一个关键问题。本文提出一种全负载范围优化分析的策略来选择开关管尺寸。
开关管的导通损耗由式(3-1)得
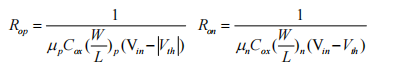
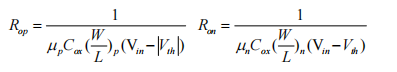
其中Rop和Ron由线性区MOS管的理论可得
开关管的开关损耗由式(3-2)得
其中Ctot为PMOS和NMOS总的等效寄生电容,并且开关管主要是处于线性区,因而有
在忽略静态功耗PQ的情况下,转换器的功率损耗可以近似写为
转换效率重写如下
由上式可以发现转换器的功耗主要由开关管尺寸、负载电流和开关频率决定,在综合考虑转换器的响应速度和输出滤波器的尺寸的情况下,本文所选的开关频率为1MHZ 根据已给出的典型应用条件,可得出转换器的功耗只和开关管尺寸有关。
为了大限度的减小功率管尺寸和寄生电容,根据所选的工艺特点,选取功率管沟道长度都为Ln=Lp=1um,并选择PMOS宽度为NMOS宽度的N倍,通过优化后确定N=3即有Wp=3Wn(Wp,Wn分别为PMOS和NMOS管的宽度)。图3-6即为在不同管子尺寸下转换器的转换效率,根据设计指标要求在典型应用下转换效率达到85%,由图折中选取6.5Wn cm,则此时PMOS管的导通电阻近似为0.46Ω,NMOS管导通电阻为0.19Ω .
电感和电容值的设计
根据电感电流纹波关系可得
电流的值也就是峰值可表示为
转换器设计中一般将电感电流纹波设计为电感电流的20%,因此在本文设计指标下电感值取为L=5uH。
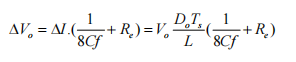
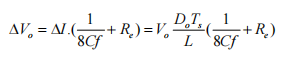
输出滤波器电容的选择需要根据响应速度、纹波电压等性能来确定,在PWM调制模式下纹波电压可表示为
根据本文的设计指标电压纹波率小于1%和式选取电容为C=15um,Re=60mΩ。
官方 天下粤商:拓展粤商产业资源,网罗广府商家商业信息 *进入频道
官方 网站建设:企业、政府、学校网站建设、开发、运营,3D网页开发(广州13423640808,深圳13922266979,微信同号) *在线咨询
官方 全能网队:让企业内低性价比的网站运营/设计师下岗!网站运营/SEO/SEM/AI优化/品牌拓展/建站 *在线咨询
官方 丰业合作社:广东省级示范社,30多年原产地批发供应荔枝、圣女果、番石榴、火龙果等 #13922255007 *在线咨询 *填写收购意向
赞 Like